Cashback Ebay

Deliverr Fulfillment Service Amazon Shopify Ebay Coupon And Cashback By 1stop Us Medium

Exclusive Get 10 Cashback On Your Ebay Order Fayde Ka Sauda
Backit Cashback Ebay Aliexpress And 900 Shops 1 80 0 Apk Androidappsapk Co

How To Get Cashback On Ebay Megabonus

Expired Topcashback Earn 5 Cashback On Slide App Purchases 9 Cashback On Ebay Apple Airbnb Uber More Gc Galore

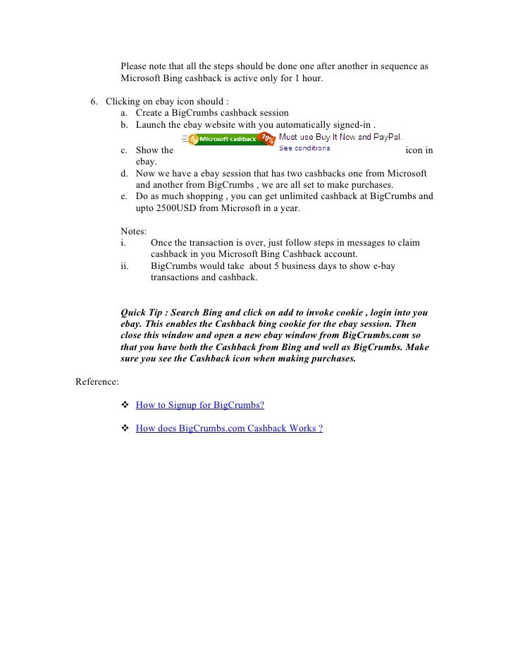
Cashback On Ebay Top Sites Cashback Reviews And Promo Codes
As with any brand, the cashback you'll earn on ebaycouk purchases can vary by purchase type Each of the three sites below has a dedicated ebay cashback page that details full cashback rates and rules To help you choose the most suitable cashback site in the meantime, we've listed the standard amount of cashback you'd earn back.

Cashback ebay. Your cashback will track within 72 hours after your shipment has been dispatched for delivery Cashback is not payable if you return or exchange, all or any part of your order In all these cases Cashback for the full order will be Cancelled Cashback may not be paid on purchases made using store credits/gift vouchers. Relevant Stores Amazoncom 8% eBaycom up to 4% Walmartcom up to 5500 pts Targetcom 1% Macy's 30% Neweggcom 4% Staplescom 8% B&H Foto and Electronics Expediacom 6% 6pmcom Disclaimer Any of the trademarks, service marks, logos, names, collective marks, design rights or similar rights that are mentioned, used or cited. Members visiting eBay through Quidco’s referral links will earn cashback on their eBay purchases, with a special rate of 5% cashback available for a limited time.
Just look for the Rebates tag when you shop on Bing children Plus, earn free gift cards and more from Microsoft Rewards. EBay Discount Codes & Cashback 21 Updated January 17, 21 eBay is one of the largest online marketplaces that connects millions of buyers and sellers worldwide eBay’s online shopping opportunities are virtually endless, so if you’re looking for new or used products, a musthave item or a oneofakind collectable, you’re bound to. 10% off 132 sellers when you spend £ or more.
In addition, eBay launched its own program called eBay Bucks, typically giving users 2% cashback on most items except for a few categories Shoppers can earn up to $100 in eBay Bucks on a single purchase and up to $500 in eBay Bucks total during a given calendar quarter. Cashback Credit Card Hotel Points Airline Mileage Other Rewards Walmart Cashback s walmart , online shopping , shop online , electronics , home furnishings , baby gear , toys , video games , walmart , walmartcom , walmart cashback comparison , walmart cash back comparison , walmart rebate comparison. MyPoints is a rebate site that partners with over 1,900 retailers Score cashback when you shop on Groupon, eBay, Walmart, LivingSocial, and more How it works Like Swagbucks, MyPoints is also a pointsbased system As you earn points, you're able to redeem them for cashback.
EBay Cash Back Discount up to 2% Back $10 Signup Bonus for your shopping Brand New C $127 From United States or Best Offer Free shipping National Cash Register Nickel Plated Back For Model 442 EL NCR PreOwned C $6401 Top Rated Seller Top Rated Seller or Best Offer From United States. We broke the news about the availability of getting 5% back on eBay purchases using the Inbox Dollars shopping portal We also wroteabout another option many reported being able to go through Topcashback and getting the 5% rate matched using the Topcashback highest cashback guarantee (details here). After you select "Redeem Cashback Bonus" you will be taken to the redemption page where you can see how much Cashback Bonus you have available to redeem Apply to your Discover bill or deposit any amount into your bank account.
Shop in the Cashback World, shop and benefit from Cashback and Shopping Points with every purchase Offers, Deals and Vouchers Codes are waiting for you!. As with any brand, the cashback you'll earn on ebaycouk purchases can vary by purchase type Each of the three sites below has a dedicated ebay cashback page that details full cashback rates and rules To help you choose the most suitable cashback site in the meantime, we've listed the standard amount of cashback you'd earn back. EBay Cashback Miles/Points Reward Comparison (Original Rate) 1219 Favorites 267 Views As of 1116 1010 AM EST View Best Rate History Sign In to Assign Cash Value to Miles/Points and View Converted Rate Comparison Green Bar indicates percentage or per dollar reward Golden Bar indicates fixed amount reward.
Latest discount coupons, promo codes & vouchers for your online shopping Plus FREE cashback rewards from ShopBack Australia Best deals & promotions!. When purchasing using eBay Cashback app, you will be credited with 2% cashback of total purchase value after the transaction is confirmed with eBay reports It could take up to two days for eBay. Cashback, Rewards, Rebates, Airline Miles, Hotel Points comparison for over 10,000 online retail stores across the world!.
Cash Back Day is a holiday that was created by RetailMeNot in 19 to kick off the holiday season with some of the biggest offers of the year Last year, the event ran for 24 hours, but this year, Cash Back Day will last 48 hours on November 5 and 6 New MoneySaving Opportunities for the Event Even better?. In order to get cashback from eBay please follow the rules below 1) Login to your account on Hello CashbackTMsite 2) Choose eBay in our catalogue 3) Click "View site" button & proceed with your order on eBay site. You may find the deal of your dreams at eBay, but Swagbucks can make it sweeter with some special eBay coupons Get cash back for your shopping therapy, earn gift cards or apply hot online coupons to today’s auction purchases.
No, there is no specific eBay cashback program There are many other ways to save at eBay with all the bargains and discounts that can often be found and are offered by different merchants looking. EBay 1% Cash Back Cash Back not available for items in the following categories Consumer Electronics, Computers/Tablets & Networking, Cell Phones & Accessories, Cameras & Photo, Video Games & Consoles, Coins & Paper Money, Stamps, Gifts Cards & Coupons Please view further restrictions in the "Restrictions" link. What’s Cash Back Day?.
Maximum cashback of $100 per transaction Cashback is limited to 08% for Camera & Photo, Cell Phones & Accessories, Consumer Electronics/TV, Video & Audio Cashback is limited to 06% for Computers/Tablets & Networking Cashback is limited to 1% for Business & Industrial. You may find the deal of your dreams at eBay, but Swagbucks can make it sweeter with some special eBay coupons. So here's 10% cashback (normally 1%) on as many purchases as you like with no cap There are no restrictions with this cashback (other than the categories listed under the "Some important things to note" section) and you can stack alongside any other promos that eBay currently have live.
In addition, eBay launched its own program called eBay Bucks, typically giving users 2% cashback on most items except for a few categories Shoppers can earn up to $100 in eBay Bucks on a single purchase and up to $500 in eBay Bucks total during a given calendar quarter. In short, the cashback system is currently offering 25% off any item purchased on eBay, provided it is bought using the “Buy It Now” feature and using PayPal for payment There is a limit to $0 in cashback per purchase, with a maximum of 6 purchases Fine print is here A quick and dirty walkthrough. EBay Cash Back and Deals Earn 1% back on most winning bids and BINs (excludes eBay Motors, gold, coins, bullion, cash, some gift cards and electronics, eBay Real Estate, eBay Charity items, eBay Business, and bids placed with a sniping service) Maximum cash back $25.
Latest discount coupons, promo codes & vouchers for your online shopping Plus FREE cashback rewards from ShopBack Australia Best deals & promotions!. EBay 15% (4%*) 1% (1 SB/$) Visit Store Page eBay Canada 11% Visit Store Page ebay IE 1% Visit Store Page ebay NL 1% Visit Store Page. Due to the very complicated policy of eBay AU, we can not count your cashback based on a set percentage of your order value Extrabux will provide 80% of our revenue to you as cashback If you are our VIP member or have a Cash Back Boost Card, you will enjoy 92% of our revenue.
It's nothing to do with eBay, you need to contact your bank right now and cancel that direct debit You won't get any money back, but it will stop future payments In future, read what you're signing up for before giving your financial info out. The PayPal Cashback Mastercard® will net you 2% cash back on all purchases, but no special cash back rate for eBay or PayPal purchases The PayPal Extras Mastercard® does offer bonus rewards on eBay or PayPal purchases, but at a disappointing rate of two points per $1. Members visiting eBay through Quidco’s referral links will earn cashback on their eBay purchases, with a special rate of 5% cashback available for a limited time.
I buy a lot of item on eBay Also I receive a cashback using topcashbackcom There was a delay in paying cashback payments and they described the situation to me like this " eBay had a bit of a delay passing funds to us while they were investigating their systems. Cashback will not be paid on the purchases of eBay giftcards Purchases made on other sites than eBay's UK site are non commissionable and will receive 0% cashback To be eligible for cashback, only one payment method can be used per transaction. QuidCo are offering a massive 25% cashback on eBay purchases for one day only Maximum cashback is £50 £10 So that's 25% for up to £0 spend, then a flat £50 for £0 spends This will also combine with the (QuidCo Approved) "PACKUP10" code;.
Maximum cashback of $100 per transaction Cashback is limited to 08% for Camera & Photo, Cell Phones & Accessories, Consumer Electronics/TV, Video & Audio Cashback is limited to 06% for Computers/Tablets & Networking Cashback is limited to 1% for Business & Industrial. Earn 2% Cash Back With no exceptions, purchase restrictions, or rotating categories, earn cash back on every purchase. As Australia's leading cash back and loyalty program specialist, Cashback’s promotion services offer comprehensive fulfillment services Proven gift card campaigns and cash back competitions are measured and reported so the results speak for themselves Cashback’s customisable consumer promotion strategies deliver value for money on the.
QuidCo are offering a massive 25% cashback on eBay purchases for one day only Maximum cashback is £50 £10 So that's 25% for up to £0 spend, then a flat £50 for £0 spends This will also combine with the (QuidCo Approved) "PACKUP10" code;. Cashback, Rebates, Airline Miles/Points Reward, Hotel Points Reward, Credit Card Points Reward Comparison for Online Shopping. Cash Back is only paid on legitimate Winning Bid or “Buy It Now” transactions Cash Back is not available on bids placed with a sniping service/tool Payment of cash back will not be made on unpaid or returned items with eBay Cash back will also not be paid on purchases in the same basket as unpaid items or returns.
By the way, you can track down hot offers and discounts in your smartphone for example, “ increased Ali cashback ” or “ double cash back at eBay ” and other limited special offers The service. It's nothing to do with eBay, you need to contact your bank right now and cancel that direct debit You won't get any money back, but it will stop future payments In future, read what you're signing up for before giving your financial info out. In order to get cashback from eBay please follow the rules below 1) Login to your account on Hello CashbackTMsite 2) Choose eBay in our catalogue 3) Click "View site" button & proceed with your order on eBay site.
Rack up points on every purchase ‡ Your points add up every time you use your eBay Mastercard to make a purchase With no annual fee § Earn 5X points for the rest of the year after you spend $1,000 on eBay in a calendar year Until then, earn 3X points per $1 spent up to $1,000 on eBay in a calendar year Earn 2X points per $1 spent on gas, restaurant, and groceries. 500 Points/$5$605% Cash Back Categories Chase Freedom Credit Card Referral. With the use of just a few apps and programs, we’re going to show you how to save 13% on ALL Ebay purchases no matter what you buy, with a maximum cash back rate of 17% Take note that the amount may change, but using this method will generally result in the highest discount when buying on Ebay 1 Get A Cash Back Credit Card.
Get cash back when you use Bing to shop with more than 700 stores Join to explore deals at over 700 retailers It's easy!. 10% off 132 sellers when you spend £ or more. Due to the very complicated policy of eBay US, we can not count your cashback based on a set percentage of your order value Extrabux will provide 80% of our revenue to you as cashback If you are our VIP member or have a Cash Back Boost Card, you will enjoy 92% of our revenue.
After you select "Redeem Cashback Bonus" you will be taken to the redemption page where you can see how much Cashback Bonus you have available to redeem Apply to your Discover bill or deposit any amount into your bank account. Amazon Cash Back Discount up to 5% Back $10 Signup Bonus Brand New $1 or Best Offer Free shipping Watch;. Once the cash back offer is activated, you’ll be directed to the store's site to make your purchase Most offers have a maximum reward of $50 Check the offer details for more information.
Due to the very complicated policy of eBay US, we can not count your cashback based on a set percentage of your order value Extrabux will provide 80% of our revenue to you as cashback If you are our VIP member or have a Cash Back Boost Card, you will enjoy 92% of our revenue. MyPoints is a rebate site that partners with over 1,900 retailers Score cashback when you shop on Groupon, eBay, Walmart, LivingSocial, and more How it works Like Swagbucks, MyPoints is also a pointsbased system As you earn points, you're able to redeem them for cashback. No, there is no specific eBay cashback program There are many other ways to save at eBay with all the bargains and discounts that can often be found and are offered by different merchants looking.
Get the best deals for cashback dvd at eBaycom We have a great online selection at the lowest prices with Fast & Free shipping on many items!. EBay Cash Back Discount up to 2% Back $10 Signup Bonus for your shopping Brand New $099 or Best Offer Free shipping Watch;. Cashback Not Eligible for Gift card purchases, Charity and nonprofit items, eBay Plus membership, Cars, Bikes, Boats, Coins, Real Estate, Services, Tickets, Travel If anything from within a basket is unpaid, exchanged or returned, Cashback for whole basket will be declined.
Kickback members earned an average of $180 cashback at eBay Australia eBay has been operating for 25 years and has grown to offer markets across many categories, including electronics, sports, motors, clothing, health and beauty, food and many more eBay Plus is an exclusive membership that unlocks shopping benefits, delivery savings and memberonly special offers that can be purchased for $49 per year. To save money, use eBay coupons and then layeron ebay cashback when you shop the world's largest online marketplace!. Cashback Travel Miles/Points Credit Card Points Other Reward Points;.
To save money, use eBay coupons and then layeron ebay cashback when you shop the world's largest online marketplace!.

Increased Cashback Ebay Australia Double Cashback 2 Up From 1 Cashrewards

Best Rate Ever Get 5 Cashback On Ebay Today Only Some Categories Excluded Running With Miles

Topcashback Com Earn With Cash Back Black Lister Ebay Dropship Tool

Microsoft Live Search Cash Back Live On Ebay Com Tamebay

Aff Quick 25 Cashback On Ebay Purchases The Reverend

Don T Buy It Now On Ebay Without Using Live Com Cashback

Ebates 15 Cashback Is Live 15 Cashback At 250 Stores Points With A Crew
Q Tbn And9gcq4ivw V2dunnvjcqf9yo9e9qcwwjp8scf Fllyknncxnm Usqp Cau
Backit Cashback Ebay Aliexpress And 900 Shops On Windows Pc Download Free 1 80 0 Bz Epn Cashback Epncashback

Ebay Get Flat Instant Cashback On Ebay Via Phonepe Max Rs 0

Walmart Shoppers Can Now Earn Cryptocurrency Back Via Stormx Which Also Supports Cashback With Microsoft Ebay Nike

How To Get Cashback For Shipping Your Orders Ebay Amazon Seller Tips Youtube

Get 2 Cashback From Ebates When Buying Gift Cards On Ebay

Ebay Diwali Sale 14th 17th Oct Get Cashback Upto Rs 0 With Phonepe Flashsaletricks

Backit Cashback Ebay Aliexpress And Free Download

Code Promo Ebay Et Cashback 4 En Janvier 21

Ebay Has 10 Off On Home Items And You Can Get 10 Cashback On Top
Ebay The Latest Company To Cashback World Myworld Lyconet Lyoness Scam Facebook

How To Get The Microsoft Live Search Ebay Discount Coupon Rebate Cash Back Offer In Plain English The Whine Seller

Topcashback Offering 5 On Ebay Purchases Hotukdeals

Ebay Cash Back Discount Up To 2 Back 1 49 Picclick

Topcashback Get 5 Back On Ebay Excludes Electronic Categories Doctor Of Credit

Ozbargain Exclusive 2 Bonus Cashback With 3 Min Spend On Ebay Australia Shopback App Required Excludes Ebay Codes Ozbargain

Don T Forget Cashback For Online Arbitrage Probably Busy

Expired Targeted Paypal Ebay Cashback Mastercard 4 Cash Back Doctor Of Credit

4 Practical Ways That Actually Work To Get Ebay Cashback Amzfinder

Yzghnggmkifcrm
Topcashback We Still Have Amazing Cashback On Ebay Co Uk Facebook

How To Get Up To 10 Cashback On Ebay Home Garden Purchases This Weekend
Backit Cashback Ebay Aliexpress And 900 Shops 1 80 0 Apk Androidappsapk Co

Maximise Ebay Cashback And Points 3 Steps Capital Matters

7 Easy Steps For Instant Cashback On Photo Gear Using Ebay

15 Cashback On Up To 25 Ebay Netflix Google Play Store More Gift Cards 1 Card Per Member Shopback Gift Card Itunes Gift Cards Google Play Gift Card

You Can Get 10 Cashback On Ebay Orders For This Weekend Only

Discover It Credit Card Cashback Referral Bonus Up To 22 Cashback Ebay

Linkangel Com Blog Archive 30 Off Incentive On Ebay With The Microsoft Live Cashback Program

Ebay Extra Il Programma Di Cashback Sconosciuto Ai Piu Tecnogalaxy

4 Jun 31 Dec Ebay Via Rebatemango Cashback Promotion With Standard Chartered Sg Everydayonsales Com

Ebay Computer Icons Cashback Website Png Clipart Area Auction Black And White Black Vector Brand Free

Earn Double Cash Back At Ebay And Big Crumbs

Ebay Cashback Bank Offers Hdfc Sbi Icici Bank
Backit Cashback Ebay Aliexpress And 900 Shops App Ranking And Store Data App Annie

Shops Coupons And Products Worldwide Giving You Cashback On Your Shopping

Maximise Ebay Cashback And Points 3 Steps Capital Matters

Buy American Airline Gift Cards With Up To 16 5 In Targeted Credit Points And Cashback Running With Miles

Top Cashback 10 Mega Ebay Cashback Today Only Milled

7 Easy Steps For Instant Cashback On Photo Gear Using Ebay

Up To 2 5 Ebay Uk Cashback Best Ebay Uk Cashback Rate And Deals 21

Backit Cashback 1 18 1 Download Android Apk Aptoide

How To Earn Quadruple Cash Back On Your Ebay Purchases Hstanfi Livejournal
Topcashback Today Only 5 Mega Cashback At Ebay Facebook

How To Earn Cashback From Ebay Youtube

Ebay In Coupon Ebay Eoss Fashion Sale Happy Hours 12 4pm Extra 15 Off 10 Freecharge Cashback November

Special Prices 2 Cashback For Ebay Pour Android Telechargez L Apk

Ebay 100 Off On 110 Coupon 12 Cashback 100 Off On 150 Coupon Best Deals Get Latest Coupons October Sale Offers October Deals Gosf Sale Gosf Amazon Flipkart Best Deals Offers

21 Best Ebay Discount Coupons Cashback Offers Images Ebay Coupon Code Discount Coupons Ebay

How Can I Get Up To 4 6 Cashback At Ebay Us Extrabux

Ebay Uk Sales Cashback Offers Essential Tips For Buying Selling

Backit Cashback 1 18 1 Download Android Apk Aptoide

Liviobrunettilyoness Ebay Lyoness Cashback Schoppin T Co 2ohms9j7tt

Bonus Promo Ebay Australia 11 11 19 Cashrewards Blog

Maximise Ebay Cashback And Points 3 Steps Capital Matters

Ebay Coupon January 21 30 Off 1 Cashback
Freecharge 25 Cashback On Ebay Max 100 Dec Freeclues

Ebay Cash Back Discount Up To 2 Back Ebay

Cashback Gas And Food Ebay

Ebay Cashback Shop Now Youtube

Ebay Australia Discount Code Deals Offers January 21

Ebay Coupons Ebay Discount Coupon Code Ebay Cashback Offers And Ebay Promo Code Image On Favim Com

Myworld News Introducing Ebay Egift Cards

Act Quick 10 Cashback On 1 Or More Purchase Top Cashback

Best Rate Ever Get 5 Cashback On Ebay Today Only Some Categories Excluded Running With Miles

Use Aliexpress Cashback To Increase Ebay Dropshipping Profit Cashback Aliexpress Make More Money

Ebay Canada Pay With Paypal And Receive 10 Cashback When You Spen 75 Or More Canadian Freebies Coupons Deals Bargains Flyers Contests Canada

Earn 5 Cashback On Ebay Co Uk Ebay Cashback

4 Practical Ways That Actually Work To Get Ebay Cashback Amzfinder
Backit Cashback Ebay Aliexpress And 900 Shops Apk Android Apps

A New Way To Get 5 Cashback At Ebay From Two Portals Miles To Memories

Up To 10 Cashback On Purchases At Ebay Latestdeals Co Uk

3 5 Cashback Ebay Australia Sitewide Via Cashrewards Ozbargain
Q Tbn And9gcrfa2ge5sqqcpialvbidepkwmh6xp45nue3u8np7xioiramezmv Usqp Cau

Ebay Risparmiare Sugli Acquisti Grazie Al Cashback Prima Monza

Ebay India Offers Cashback Coupons Topcashback

Ebay Cashback Bidearn Twitter

Special Prices 2 Cashback For Ebay Apps On Google Play

Ebay Uk January Discount Offers Cashback Deals

Ebay International Men S Clothing Get Up To 70 Off Online Best Price India Cashback And Coupons

Freecharge Ebay Offer Coupon Get 8 Off 25 Cashback Fcfest16 Fcebayny07 Fcebayny09 For January 21 All Coupons

How To Get Cashback From Every Deal In Ebay Or Amazon Najeebgafar

Up To 15 Cashback At Ebay Latestdeals Co Uk

Make Sure You Are Using A Credit Card With Best Cashback Rewards Rate That You Can Get To Pay For All That You Can Related To Your Flipping Activities Shipping Fees Ebay

Ebay Get 15 Cashback Upto Rs 150 Paid Via Phonepe

Microsoft And Ebay Team Up Desperate Or Brilliant Seeking Alpha

Ebay Uk January Discount Offers Cashback Deals

Freestuffeu 10 Cashback At Ebay Available For A Limited Time Only Milled

Ebay Store Exclusive Summer Collection With Extra Bachaocash Cashback