Integration Sinus Cosinus

Sinus Und Kosinus Wikipedia

Mat Huskeregel For Differentiation Og Integration Af Sinus Cosinus Og Tangens

Derivative And Integral Of Trigonometric And Hyperbolic Functions

The Perplexing Integral Of Sin X Cos X Youtube

Aufleiten Einer Funktion Aufleitung

Sinus Cosinus Und Tangens Am Einheitskreis Geogebra
The shear force at the sinus cosinus joint profile If shear forces in the joints should be transmitted through the shear dowels, smooth steel rods with a length of 500 mm can be used at a distance of about 25 cm In order to ensure the opening of the joint due to shrinkage reduction, a plastic coating is applied to the anchors.
Integration sinus cosinus. Rappel les fonctions sinus et cosinus n’admettent pas de limite en ∞ et en –∞ Les théorèmes de comparaison et le théorème « des gendarmes » doivent être utilisés dans de nombreux cas On rappelle que pour tout x, −1⩽cosx⩽1 et −1⩽sinx⩽1 Limite de référence lim x→0 sin(x) x =0 preuve page 86. Continuous load transfer is accomplished by the SinusCosinus geometry The Cosinus Slide® Design The Cosinus Slide®armor joint has combined the HCOmega Slide ® with a unique technology that permits the load bearing capacity of the armor joint to be that of the complete concrete floor The top section is made up of two 02 inch (5 mm. Acest tabel cuprinde valorile funcțiilor trigonometrice sinus și cosinus Valoarea unghiurilor crește din 5 în 5 grade sexagesimale Valoarea unghiului α Valoarea lui sin α Valoarea lui sin 2 α Valoarea lui cos α Valoarea lui cos 2 α 0° 0 0 1 1 5° 0,087 0,0075 0,996 0,992 10° 0,173 0,030 0,984 0,969 15° 0,258 0,0669 0,965.
1 Given two sides and an included angle (SAS) 2 Given three sides (SSS) The Cosine Rule states that the square of the length of any side of a triangle equals the sum of the squares of the length of the other sides minus twice their product multiplied by the cosine of their included angle In symbols. One can easily see that multiplication by ei rotates the point z= 1 along the unit circle by an angle , taking (in terms of real coordinates) (1;0) !(cos ;sin ) This is also true for the point z= i, which gets taken to i(cos isin ) = sin icos. The answer provided by Leo is the first one that comes to mind, but here is one starting directly from the definition of $\Gamma(s)$ From the definition of Gamma.
Trigonometric integral with cosinus Ask Question Asked 2 years, 4 months ago Active 2 years, 4 months ago $\begingroup$ "Standard integration" is a little terse $\endgroup$ – Yves Daoust Jun 19 '18 at 1 $\begingroup$ Nope, have not met them yet $\endgroup$ – Dovendyr Jun 19 '18 at 842. We can write cos x as sin (π/2−x), so the lefthand side of Equation 42 becomes =sin (π/2−x)sin x 43 Which is the sum of two sines Using the formula for the sum of two sines ( above ) 12, repeated We get, by substituting in Equation 43 cos x sin x=2·sin (π/4)·cos (π/4x) Noting sin π/4=cos π/4=1/√2. As nouns the difference between cosinus and sinus is that cosinus is cosine while sinus is (anatomy) a pouch or cavity in any organ or tissue, especially the paranasal sinus cosinus Not English Cosinus has no English definition It may be misspelled English words similar to 'cosinus'.
It was first used in ancient Egypt in the book of Ahmes (c 00 BC) Much later F Viète (1590) evaluated some values of , E Gunter (1636) introduced the notation "Cosi" and the word "cosinus" (replacing "complementi sinus"), and I Newton (1658, 1665) found the series expansion for. Fonction cosinus et sinus Par Lola33 dans le forum Mathématiques du collège et du lycée Réponses 17 Dernier message 21/11/07, 21h19 fonction sinus Par imaginelle dans le forum Mathématiques du collège et du lycée Réponses 14 Dernier message 17/12/06, 18h03 Etude d'une fonction rationnelle. Stack Exchange network consists of 176 Q&A communities including Stack Overflow, the largest, most trusted online community for developers to learn, share their knowledge, and build their careers Visit Stack Exchange.
Cosh x dx = sinh x C Proof sech x dx = arctan (sinh x) C tanh x dx = ln (cosh x) C Proof coth x dx = ln sinh x C Proof Click on Proof for a proof/discussion of a theorem To solve a more complicated integral, see The Integrator at http//integralscom. We apply the integration by parts to the term ∫ cos(x)e x dx in the expression above, hence Simplify the above and rewrite as \int sin(x) e^x dx = \sin(x) e^x \cos(x)e^x \int \sin(x) e^x dx. Compute answers using Wolfram's breakthrough technology & knowledgebase, relied on by millions of students & professionals For math, science, nutrition, history.
(sinus/cosinus circulare) to refer to circular functions and Sh and Ch (sinus/cosinus hyperbolico) to refer to hyperbolic functions Lambert adopted the names, but altered the abbreviations to those used today The abbreviations sh, ch, th, cth are also currently used, depending on personal preference. Twice with 2 Integration Blocks When I integrate a sinus function the first time, there is no problem (get cosinus), but in the second integration I get a graph with negative (or positive) slopeWhat can I do to get true result I have searched old post and apply them (high pass filtered to remove. Nah simak pembahasannya pada materi lengkap kali ini Aturan Sinus Aturan sinus yaitu perbandingan antara setiap sisi dengan sinus sudut di depan sisi tersebut yang nilainya samaAturan sinus berlaku untuk segitiga, baik segitiga sikusiku ataupun segitiga sembarang.
The Complex Cosine and Sine Functions We will now extend the realvalued sine and cosine functions to complexvalued functions For reference, the graphs of the realvalued cosine (red) and sine (blue) functions are given below. The most common form of cosine integral is Ci(x) = int_x^infty(costdt)/t (1) = gammalnxint_0^x(cost1)/tdt (2) = 1/2Ei(ix)Ei(ix) (3) = 1/2E_1(ix)E_1(ix), (4) where Ei(x) is the exponential integral, E_n(x) is the Enfunction, and gamma is the EulerMascheroni constant Ci(x) is returned by the Wolfram Language command CosIntegralx, and is also commonly denoted ci(x). Integrate sinus and cosinus divison Ask Question Asked 6 years, 7 months ago Active 6 years, 7 months ago Browse other questions tagged integration or ask your own question Featured on Meta Feature Preview New Review Suspensions Mod UX A big thank you, Tim Post 11 votes.
Re développement de sinus et de cosinus Salut Envoyé par firebird21 je me suis dit qu'il fallait développer sa 2(cos2 π/8 sin2 π/8)2 (2sin π/8 cos π/8)2 C' est ce qui s' appelle prendre le problème par le mauvais bout. Sin θ = sin ( θ 2 k π ) {\displaystyle \sin \theta =\sin \left (\theta 2k\pi \right)\quad } and cos θ = cos ( θ 2 k π ) {\displaystyle \quad \cos \theta =\cos \left (\theta 2k\pi \right)} hold for any angle θ and any integer k The same is true for the four other trigonometric functions. For cos For memorising cos 0°, cos 30°, cos 45°, cos 60° and cos 90° Cos is the opposite of sin We should learn it like cos 0° = sin 90° = 1 cos 30° = sin 60° = √3/2 cos 45° = sin 45° = 1/√2 cos 60° = sin 30° = 1/2 cos 90° = sin 0° = 0.
The Complex Cosine and Sine Functions We will now extend the realvalued sine and cosine functions to complexvalued functions For reference, the graphs of the realvalued cosine (red) and sine (blue) functions are given below. Essaye de remplacer ton cosinus par un sinus, tu auras moins de mal à tomber sur un résultat qui te plait 21/09/07, 10h12 #3 labostyle Re intégrale de cosinus l'intégrale de cosAx c'est (1/A)*sinAx 21/09/07, 10h23 #4 axiome Re intégrale de cosinus. Use sin2x = (1 − cos(2x)) / 2 to rewrite the function ∫sin6xdx = ∫(sin2x)3dx = ∫(1 − cos2x)3 8 dx = 1 8∫1 − 3cos2x 3cos22x − cos32xdx Now we have four integrals to evaluate ∫1dx = x and ∫ − 3cos2xdx = − 3 2sin2x are easy.
Gambar diatas merupakan Rumus Cosinus Trigonometri Matematika dan untuk nilai cos 0 derajat, nilai cos 15 derajat, nilai cos 30 derajat, nilai 45 derajat, nilai 60 derajat, nilai 75 derajat dan nilai 90 derajat merupakan nilai cosinus di dlm Sudut Istimewa Trigonometri sehingga bagi kalian sebagai seorang pelajar memang harus mengenal dan memahami Nilai Sinus, Cosinus dan Tangen didalam Tabel. Auf einen Blick Integrale spezieller Funktionen Funktion Stammfunktion Bemerkung x n x n 1. Aturan Sinus Dan Cosinus – Hay sahabat semua!.
Podobně pro minimum sinus má minimum v bodech \(\frac{\pi}{2}2k\pi\), kde k je celé číslo a jeho hodnota je −1 Sinus je lichá a omezená funkce Cosinus # Cosinus úhlu alfa se rovná poměru délky přilehlé odvěsny ku délce přepony v pravoúhlém trojúhelníku Takže pokud na kalkulačce spočítáme cosinus úhlu alfa. How to integrate sin(x)*cos(x)?. Cosinus synonyms, Cosinus pronunciation, Cosinus translation, English dictionary definition of Cosinus trigonometric function In a right triangle, the three main trigonometric functions are sine θ = opposite / hypotenuse cosine θ = adjacent / hypotenuse.
Sin(x), cos(x), Stammfunktion bilden, Grundlagen, Trigonometrische FktWenn noch spezielle Fragen sind https//wwwmathefragende Playlists zu allen MatheT. Il y a une relation simple entre le sinus et le cosinus de n'importe quel angle Le théorème de Pythagore indique que a 2 b 2 = c 2 Par conséquent, pour tout angle A (sin A) 2 (cos A) 2 = (b 2 /c 2) (a 2 /c 2) = (a 2 b 2)/c 2 = 1 Ce rapport est habituellement écrit sin 2 A ( pas sinA 2, qui pourrait indiquer le sinus d'un angle. Cosinus Solutions s’est imposé comme le partenaire de référence dans le secteur de la banque et de la finance Nos équipes interviennent comme auditeur ou conseil auprès de l’ensemble des acteurs bancaires et couvrent l’intégralité de leurs métiers Nous participons aux différentes instances professionnelles et autorités de tutelles.
Til den liste kan vi nu tilføje de trigonometriske funktioner sinus, cosinus og tangens Husk, at når man differentierer eller integrerer de trigonometriske funktioner, så SKAL man regne i radianer Hvis du bruger en lommeregner til at differentiere for dig, så sørg for, at den er indstillet til at regne i radianer. (sinus/cosinus circulare) to refer to circular functions and Sh and Ch (sinus/cosinus hyperbolico) to refer to hyperbolic functions Lambert adopted the names, but altered the abbreviations to those used today The abbreviations sh, ch, th, cth are also currently used, depending on personal preference. Which is the correct answer???To support my channel, you can visit the following linksTshirt https//teespringcom/derivat.
Compute answers using Wolfram's breakthrough technology & knowledgebase, relied on by millions of students & professionals For math, science, nutrition, history. (tror det er julen, der har forpurret hjernen!). Les fonctions sinus et cosinus 1 Équation trigonométrique Équations trigonométriques • L’équation cosx =cosa admet les solutions suivantes sur R x =ak2π ou x =−ak2π avec k ∈ Z • L’équation sinx =sina admet les solutions suivantes sur R x =ak2π ou x =π − ak2π avec k ∈ Z 2 Signe des fonctions sinus et cosinus.
Apa itu aturan sinus dan cosinus?. Cosinus/Sinus integration 21 januar 09 af AlexP (Slettet) Når man integrerer sinus/cosinus, hvad bliver det så til?. Les fonctions sinus et cosinus, Cours, Examens, Exercices corrigés pour primaire, collège et lycée Notre contenu est conforme au Programme Officiel du Ministère de l'Éducation Nationale.
Stack Exchange network consists of 176 Q&A communities including Stack Overflow, the largest, most trusted online community for developers to learn, share their knowledge, and build their careers Visit Stack Exchange. Grieb Integraltabelle 3 33) dx a x x 2 2 2 = a x x a x a arcsin 2 1 2 2 2 34) a2 x2 dx = a x x a x a ar sinh 2 1 2 2 2 = x a x a ln (x a x ) 2 1 2 2 2 2 2 35) x. Aturan cosinus dapat digunakan untuk menentukan ukuran salah satu simpul segitiga jika tiga sisi segitiga diketahui Untuk menentukan sisi segitiga, aturan ini dapat digunakan jika dua sisi dan sudut irisan diketahui Untuk detail lebih lanjut, mari simak materi tentang aturan cosinus yang sudah saya siapkan di bawah ini.
Aturan Sinus dan Cosinus Sebuah, segitiga terdiri dari 3 sisi dan 3 sudut, dengan jumlah ketiga sudut adalah 180° Untuk segitiga sikusiku, Hanya dibutuhkan 1 sisi dan 1 sudut (tidak termasuk sudut sikusiku) ataupun 2 sisi diketahui. Proofs For each of these, we simply use the Fundamental of Calculus, because we know their corresponding derivatives cos (x) = sin (x), cos (x) dx = sin (x) c sin (x) = cos (x), sin (x) dx = cos (x) c. Plot of the six trigonometric functions, the unit circle, and a line for the angle θ = 07 radians The points labelled 1, Sec(θ), Csc(θ) represent the length of the line segment from the origin to that point Sin(θ), Tan(θ), and 1 are the heights to the line starting from the xaxis, while Cos(θ), 1, and Cot(θ) are lengths along the xaxis starting from the origin.
Pada perjumpaan kali ini kembali akan quippercoid sampaikan pembahasan materi makalah tentang aturan sinus dan cosinus Namun pada perjumpaan sebelumnya, yang mana kami juga telah menyampaikan materi tentang Bangun Datar Nah untuk melengkapi apa yang menjadi pembahasan kita kali ini maka, mari. Sinus Slide joints Communication on European patent n° and n° We are pleased to announce that the European patent office decided to grant on a European patent n° based on the European patent application EP directed to the cosinus slide joint and also decided to grant on a European patent n° based on the European patent. Rumus Perkalian Trigonometri Sinus, Cosinus dan Contohnya Hallo teman Sains Seru ketemu lagi nih, kali ini kita akan mencoba membahas Rumus Perkalian Trigonometri Sinus dan Cosinus beserta Contohnya Mengingat materi ini adalah kelanjutan dari kedua artikel yang telah di bahas sebelumnya, maka akan lebih mudah untuk memahami materi pada kesempatan kali ini jika kedua artikel sebelumnya sudah.
Stack Exchange network consists of 176 Q&A communities including Stack Overflow, the largest, most trusted online community for developers to learn, share their knowledge, and build their careers Visit Stack Exchange. Cosinus Solutions s’est imposé comme le partenaire de référence dans le secteur de la banque et de la finance Nos équipes interviennent comme auditeur ou conseil auprès de l’ensemble des acteurs bancaires et couvrent l’intégralité de leurs métiers Nous participons aux différentes instances professionnelles et autorités de tutelles. The different sine integral definitions are = ∫ = − ∫ ∞ Note that the integrand sin x ⁄ x is the sinc function, and also the zeroth spherical Bessel functionSince sinc is an even entire function (holomorphic over the entire complex plane), Si is entire, odd, and the integral in its definition can be taken along any path connecting the endpoints.
D'unefonction exponentielle et d'unefonction sinus ou cosinus (avecu egale indifferemment à la fonction exponentielle ou à la fonction sinus ou cosinus) Exemple 1 Calculer ∫ 0 1 xexdx On pose u(x)=x et v'(x)=ex on a donc u'(x)=1 et v(x)=ex Sachant que ∫ a b u(x) v'(x) dx=u(x) v(x) a b−∫ a b u'(x) v(x) dx, on a ∫ 0 1 xexdx. The sin() function in C returns the sine of an angle (argument) given in radians. It doesn't recognize sinSo can someone tell me include keyword and library name to write which will include these functions.
Sine, Cosine and Tangent Three Functions, but same idea Right Triangle Sine, Cosine and Tangent are the main functions used in Trigonometry and are based on a RightAngled Triangle Before getting stuck into the functions, it helps to give a name to each side of a right triangle. Sådan som jeg husker det er det Sinus > Cosinus > Sinus > Cosinus (læg mærke til minusserne) Er det rigtigt?. The most common form of cosine integral is Ci(x) = int_x^infty(costdt)/t (1) = gammalnxint_0^x(cost1)/tdt (2) = 1/2Ei(ix)Ei(ix) (3) = 1/2E_1(ix)E_1(ix), (4) where Ei(x) is the exponential integral, E_n(x) is the Enfunction, and gamma is the EulerMascheroni constant Ci(x) is returned by the Wolfram Language command CosIntegralx, and is also commonly denoted ci(x).
Sine, Cosine and Tangent Sine, Cosine and Tangent (often shortened to sin, cos and tan) are each a ratio of sides of a right angled triangle For a given angle θ each ratio stays the same no matter how big or small the triangle is To calculate them Divide the length of one side by another side. Les fonctions sinus et cosinus, Cours, Examens, Exercices corrigés pour primaire, collège et lycée Notre contenu est conforme au Programme Officiel du Ministère de l'Éducation Nationale. I made a simple calculator as my first android program, now I wanted to add trigonometry, log, etc functions to itIn C we have to include math library to do so, I can't seem to figure out how you do that in java, in android studioBecause when I write a=sin(b);.
Trigonometric integral with cosinus Ask Question Asked 2 years, 4 months ago Active 2 years, 4 months ago $\begingroup$ "Standard integration" is a little terse $\endgroup$ – Yves Daoust Jun 19 '18 at 1 $\begingroup$ Nope, have not met them yet $\endgroup$ – Dovendyr Jun 19 '18 at 842.

Ableitung Und Aufleitung Von Sinus Und Cosinus Youtube

Teknik Integral Substitusi Fungsi Trigonometri

Integral Trigonometri Un Matematika Sma
Ableitungen Symmetrien Und Umkehrfunktionen Trigonometrischer Funktionen Lernen Mit Serlo

Integral Of Sin X Cos X Youtube

Blog Matematyczny Minor Matematyka Okrag Trygonometryczny Funkcji Sinus Cosinus Tangens I Cotangens Sinusitis Math Worksheet Math

L Sinus And L Cosinus Along With Parameter X Which Is Understood As The Download Scientific Diagram
Sin Cos Integral Rechnung
Integrieren Durch Substitution Mit Sinus Und Cosinus Mathelounge
Integral Von Cos 2 X Mathelounge

Rumus Integral Trigonometri Rumushitung Com

Partielle Integration Produktintegration

Sinus Cosinus Integralformel Schule Mathe Mathematik

Exercices Corriges D Integration Par Parties

Formules De Base D Integration Des Fonctions Trigonometriques Et Trigonometriques Inverses Youtube

Das Integrieren Die Substitutionsmethode Substitution Der Integrationsvariable Wie Kommt Man Nur Auf Die Richtige Substitution Schule Mathe Mathematik

Fourierreihen Mathematische Hintergrunde

Illustration Des Formules D Addition D Angle Pour Le Sinus Et Le Cosinus Le Segment Souligne Est De Longueur Unitaire Math Methods Math Formulas Studying Math

Fnts Sin Cos Et Integration 24 03 14

Soal Integral Fungsi Trigonometri
Partielle Integration Hilfe Bei Umformung Von Sin Kp Cos Kp Mathelounge
Weierstrass Substitution Wikipedia

Elementary Calculus Reduction Formulas Sine And Cosine

Integral Trigonometri Un Matematika Sma

L Sinus And L Cosinus Along With Parameter X Which Is Understood As The Download Scientific Diagram
Bestimme Die Integrale Mit Partieller Integration Sin X Cos X Dx Mathelounge

Integral Trigonometri Sinus Dan Cosinus De Eka
List Of Integrals Of Trigonometric Functions Wikipedia

Overgangsformler Matematik A Trigonometri Webmatematik

Integral Trigonometri Pendidikan Matematika

Sinus Und Kosinus Wikipedia

Rediscovery Of Malmsten S Integrals Their Evaluation By Contour Integration Methods And Some Related Results Springerlink
Integral Von Sin X Mit Integralgrenzen 2pi Und 0 Mathelounge
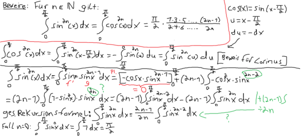
Integral Potenzen Von Sinus Rekursion Beispiel Wikiversity

Integral Trigonometri Sinus Dan Cosinus De Eka

Integration De Six Fonctions Trigonometriques De Base Et De Leurs Carres Youtube

Integral Trigonometri Pendidikan Matematika

Fonctions Trigonometriques Cosmologie Univers Et Physique

Integral Sqrt Sin X Sqrt Sin X Sqrt Cos X Von 0 Bis Pi 2 Youtube
Integral Von Cos 2 X Mit Partieller Integration Mathelounge

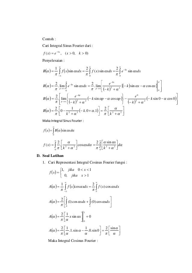
Integral Fourier
Q Tbn And9gcqqs Cx2sjsfouudsruec Lrhxxxf6jofuqbmdxefuaf6hhckzh Usqp Cau
Berechne Das Uneigentliche Integral Von F X Cos X X Sin X X 2 Fur X Von 0 Bis P 2 Mathelounge

Trick Fur Sinus Cosinus Mathematik I Ii 19 Blog

Arbeitsblatt Zur Integration Durch Substitution Studimup De
Q Tbn And9gcqluw0mmubsxqcfcuwgifwgaeliqzat0mf1w96ywd4363lnp Wg Usqp Cau

Integrationsregeln Erklarung Beispiele Mit Video

Sinus Integral Wikipedia

Integrer Lorsque Les Puissances De Sinus Cosinus Sont Encore Non Negatif Para Dummies

Math Tutor Integral Methods Survey Integration Methods

Diskrete Cosinus Transformation Verilog Sinus Und Cosinus Transformationen Very Large Scale Integration Winkel Png Herunterladen 750 600 Kostenlos Transparent Text Png Herunterladen

Sinus Und Kosinus Wikipedia
List Of Integrals Of Trigonometric Functions Wikipedia

Trigonometric Functions Wikipedia

Pin On Keyboarding

Integral With Trigonometry Integration Trigometrique Cosinus And Sinus Math Word Problems Framed Words Common Core Math Fractions
List Of Integrals Of Trigonometric Functions Wikipedia
Integration I Berechnen Der Grauen Flache Zwischen Die Graphen Von Cosinus Und Sinus Mathelounge
Integral Von Sinx Cosx Mathelounge

Integral Trigonometri Un Matematika Sma
Partielle Integration Unbestimmtes Integral Mathelounge
Integrationstechniken Bsp Integral Cos 2 2x Dx Fur X Von P Bis P Mathelounge
Mittlere Leistung Bestimmen
Sinus Kosinus Und Tangens

Le Calcul Pour Les Ingenieurs Et Les Physiciens Integration Et Differenciation Avec Des Applications Aux Problemes
Sinus Kosinus Und Tangens

Integral Trigonometri Pendidikan Matematika

Triangle Sinus En Cosinus Tangens En Cotangens Trigonometric Functions Angle Angle Text Triangle Png Klipartz

Partielle Integration Produktintegration

Integral Fourier

Fourierreihen Mathematische Hintergrunde

Ibo Teorema Del Cosinus I Teorema Del Sinus Youtube

Trigonometri Rumus Sinus Cosinus Tangen Secan Cosecan Cotangen Trigonometri Pelajaran Matematika Matematika

Uberlagerung Von Cosinus Und Sinusfunktion Geogebra
Q Tbn And9gcsu4ok033i7xu9c8jz Dhdzr4hkuh2glwg Dophbinjh Sfgeqd Usqp Cau

Integration De Fonction Trigonometrique Ppt Video Online Telecharger
Q Tbn And9gctk0qmzwuw3xqodo0wvwah6evqfvhch8whogwt1tg05pg7d Rua Usqp Cau

Integration De Puissances De Sinus Et Cosinus Youtube

Integral Fourier

Fourierreihen Mathematische Hintergrunde

Sin X Cos X Tan X Cot X Turevi Ve Integrali Mmsrn Com Egitim Ve Bilgi Sitesi

Derivee De Cosinus Et Primitive De Sinus

Uberlagerung Von Cosinus Und Sinusfunktion Geogebra

Integral Trigonometri Pendidikan Matematika Laman 5

Fourierreihen Mathematische Hintergrunde

Fonctions Trigonometriques Cosmologie Univers Et Physique

23c 3 Flache Zwischen Sinus Und Cosinus Kurve Medien Fh Medienportal

Integral Trigonometri Un Matematika Sma

Integral Trigonometri Sinus Dan Cosinus De Eka

Derivative And Integral Of Trigonometric And Hyperbolic Functions

Integrales Trigonometricas Superprof

Cosine Introduction To The Cosine Function

Fourierreihen Mathematische Hintergrunde

Integral Sin X Partielle Integration Phonix Beispiel Vorgerechnet Integration Youtube

Fresnel Integral Wikipedia

Math Tutor Integral Methods Survey Integration Methods

Fonctions Trigonometriques Cosmologie Univers Et Physique

Pluggakuten Se Forum Gymnasiematematik Gy Integral Med Sinus Och Cosinus